gmcphotographics
Member
Here's a new thread for the users of the mighty Canon EF 400mm f2.8 L IS II USM.
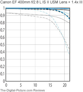
According to Canon's MFT charts this is the sharpest of the Canon 400mm / f2.8 lenses and it's legendary ability to use teleconverters is very warranted.
Here are the MFT's from Canon for the native lens and the 1.4x TC.

According to Canon's MFT charts this is the sharpest of the Canon 400mm / f2.8 lenses and it's legendary ability to use teleconverters is very warranted.
Here are the MFT's from Canon for the native lens and the 1.4x TC.

| Specifications | Metric | ||
|---|---|---|---|
| Weight: | 8.49 lbs / (3850g) | ||
| Size: | 6.4 x 13.5" / (163 x 343mm) | ||
| Filter Size | Drop in 52mm | ||
| Introduction: |
| ||
|
| ||
| Magnification Factor: | 0.17x | ||
Last edited:







